Пряжа и прядение

   |  Страница создана: 22-11-2010  |  Просмотров: 12 107
загрузка...

 

Предварительно мы затронем проблему шерстяного сырья. Анализ текстильных находок не дает исчерпывающего ответа на вопрос, каким образом снималось руно с овцы. Из этнографического материала известно, что для этого употребляются четыре различные системы: а) собирание руками в период линьки; б) вычесывание гребнями с крепкими зубьями; в) срезание шерсти острым ножом; г) стрижка с помощью ножниц, так называемых овечьих.

Какой из этих способов употреблялся в средневековой Руси, с помощью исследования под микроскопом установить нельзя. Однако надо отметить тот факт, что в исследованном материале местного происхождения не обнаружено волосяных луковиц. Это, по-видимому, говорит о том, что руно состригалось или срезалось.

Исследование шерстяного сырья тканей русского производства показывает, что руно, снятое с овцы, очищалось и сортировалось для устранения попорченных и загрязненных частей, а также для отделения излишка остевых волокон. К такому заключению приводят нас сравнения показателей шерсти тканей «обычных» ажурных, поясов и нитей, встречающихся в новгородском материале, с диаграммами вязаных изделий, найденных в Новгороде, относительно которых по ряду других данных известно, что они, несомненно, местного происхождения. Сравнение показателей шерсти ажурных и «обычных» тканей с характеристикой михновской и сокольской шерсти (рис. 2, е, 4, ж) позволило сделать вывод, что как ажурные, так и «обычные» ткани являются изделиями местных ремесленников из местного сырья. Относительно небольшой процент остевых волокон (15-20%) заставляет предполагать, что их устраняли из шерсти до того момента, как приступали к прядению. Показательно также, что эта группа вязаных изделий в отличие от упомянутых выше имеет значительный процент остевых волокон (70-90%). Поэтому предполагают, что толстая шерсть вязаных изделий, которая значительно отклоняется от типичных показателей местной русской шерсти, не особый вид какого-то овечьего руна, а лишь сырье, которое получалось из отбросов обычной шерсти, когда ее сортировали перед прядением.

Все сказанное полностью подтверждается как русским этнографическим материалом, так и теми письменными источниками, из которых мы черпаем сведения о ремеслах средневековой Европы14.

Сырье из отбросов получалось в ходе отдельных операций, через которые проходила шерсть: при разрывании ворсинок руками, когда легче всего отделять ость от пуха, а также при битье, когда толстые и тяжелые остевые волокна опускались вместе с пылью через отверстие решетки на подстеленный фартук или пол. Метод использования отходов шерсти был известен и в текстильном производстве Западной Европы. Так, например, в XIII-XIV вв. во Флоренции отходы после битья шерсти собирались и употреблялись для прядения нитей утка для тканей низшего сорта. В новгородском материале пряжа, полученная из такой шерсти, употреблялась для изготовления вязаных изделий, а также, возможно, использовалась в качестве утка для особенно толстых тканей — половиков и подстилок15. Именно такими подстилками или половиками были, по-видимому, особенно толстые новгородские ткани (Н-58/2851 — желтая ткань; основа ее изготовлена из растительного волокна, уток же шерстяной).

 

текстиль древнего Новгорода
Рис. 8. Пряжа новгородских тканей (увеличение X 5)
а — «обычная» ткань Н-58/2824, ярус 20 (1 — основа, 2 — уток, пряжа из битой шерсти);
6 — уток полушерстяной ткани Н-57/4599, ярус 11, пряжа из битой шерсти; в — суконная ткань Н-58/2855,
ярус 17 (7 — основа, 2— уток), пряжа из битой шерсти; г— крашеная неваляная ткань Н-57/4626,
ярус 2 (] — основа, 2 — уток), пряжа из чесаной шерсти; д— ткань «специального» типа Н-57/4619,
ярус 18 (7 — основа, 2— уток), пряжа из чесаной шерсти

 

Анализ материала позволяет говорить о том, что шерсть, подготовленная к прядению, подвергалась двум разным способам обработки: чесанию или битью. Об этом выразительно свидетельстует различное расположение волокон в пряже из которой изготовлены как местные, так и импортные ткани. Волокна чесаной пряжи расположены параллельно, так как в процессе чесания гребнями-чесалами они располагаются ровными рядами. Если же шерсть подвергалась битью (кардованию), волокна в нити располагаются хаотично; это свидетельствует о том, что при обработке шерсти употреблялись лук со струной или щетка с железными зубьями.

Хотя отличие пряжи из чесаной шерсти от шерсти, подвергшейся битью (кардованию), в новгородском материале наблюдается как в русских, так и в импортных тканях, все же в первых оно выступает гораздо менее выразительно, чем во вторых. Отличие, о котором мы говорим, отчетливо видно на фотографиях (рис. 8, а, д). Нам кажется, можно утверждать, что отличия чесаной и битой шерсти по внешнему виду местного и импортного происхождения возникли как следствие различного уровня специализации производства и разделения труда, а также степени совершенства орудий производства. Итак, мы можем утверждать, что эти два различные метода обработки шерсти перед прядением (чесание и битье) были известны не только в Западной Европе, но и на Руси.

 

прядение в Киевской Руси
Рис. 9. Прядение шерсти без прялки и с прялкой
1 — фреска Софийского собора в Киеве, 2 — рисунок из Велиславской библии

 

Пряжа из чесаной шерсти характеризуется также значительной неравномерностью толщины, тонкостью и сильным скручиванием. Поэтому эта пряжа часто употребляется на основу, для которой требуется гладкость, крепкость и эластичность, необходимые при образовании зева. Пряжа из битой шерсти неравномерная, мягкая, слабо скрученная, служила в качестве утка, к которому в процессе тканья не прикладывается столько силы, как к основе. Такое различие, хотя и наблюдается в импортных и в местных тканях, не соблюдалось строго. Например, в импортном материале ткани специального типа характеризуются наличием чесаной шерсти как в основе, так и в утке. Аналогичную картину мы видим и в некоторых местных тканях. Гораздо реже встречаются ткани, уток и основа которых изготовлены из битой шерсти.

Во многих случаях трудно определить метод обработки шерсти перед прядением, и особенно трудно увидеть признаки, неопровержимо свидетельствующие о том, что шерсть чесали; поэтому трудно определить отношения этих двух групп пряжи между собой.

Способ обработки шерсти перед прядением оставляет след на изготовленной из нее нити; столь же важным фактором для ее структуры является способ прядения.

В археологическом материале Новгорода мы различаем два способа прядения: а) с помощью сучения ладонями без веретена; б) с помощью веретена. Третий способ прядения (с помощью прялки) можно предполагать лишь по отношению к тканям, импортированным в Новгород не ранее конца XIII в., так как прялка появляется в Западной Европе именно в это время. Однако различия, которые могли бы указывать на употребление веретена или прялки, в пряже неуловимы.

Относительно первого способа прядення на Руси в период раннего средневековья мы можем утверждать, что пряжа вязаных изделий изготавливалась таким же способом, как верчь или сучанина, известная по этнографическим исследованиям. Ее толщина, характер шерсти и хаотическое скручивание говорят о том, что она получалась чесанием и кручением ладонями отходов шерсти, полученных после просеивания, или остатков кудели.

При прядении с помощью веретена дело обстояло иначе. В эпоху средневековья было два способа прядения с помощью веретена: прядение с прялкой, широко известной по археологическим находкам, и без нее. Этот последний способ можно видеть на фреске в Софийском соборе в Киеве, на которой изображена пряха, одной рукой крутящая веретено, а другой держащая кудель (рис. 9). Надо упомянуть, что первый способ служил для прядения чесаной и битой шерсти, а второй, по-видимому, исключительно для битой шерсти. Процесс прядения протекает следующим образом: пряха пальцами одной руки вытягивает волокно из кудели, прикрепленной к прялке, а другой вращает веретено, скручивая тем самым нить. Когда нить достаточно скручена, она наматывается на веретено, а чтобы она не разматывалась, на конец веретена, набрасывается петелька. Веретено приводится в движение правой или левой рукой, смотря по тому, какое направление скручивания пряха хочет придать пряже. Полученная пряжа может поэтому иметь либо левое скручивание, либо правое. Конечно, прядение без прялки труднее, чем прядение с прялкой, так как пряха при этом одной рукой должна держать кудель шерсти.

Употребление тех или иных типов скручивания пряжи придавало ткани различные свойства. Так, в тканях с саржевым переплетением, в которых направление рядков противоположно направлению скручивания нити основы, усиливало диагональный рисунок ткани. Если же направление скручивания нити основы и направления рядков совпадают, полосатый рисунок выступает менее отчетливо, и ткань выглядит более гладкой.

При изготовлении валяных тканей необходимо, чтобы уток и основа имели различное направление скручивания. Это создает технические предпосылки, необходимые для валки.

Таким образом, направление скручивания пряжи не носило случайный характер, а предусматривалось заранее. Комбинация скручиваний в ткани зависела не только от техники ее изготовления, но также от ее качества. Приводимая ниже табл. 3 суммарно иллюстрирует это.

 

Таблица 3

 

Комбинация скручивания Сорт ткани
IV III II 1
Основа Z, уток S 40 97 40 49
Основа Z, уток Z или основа S, уток S 69 44 15 21
Другие (сдвоенные нити) 10 1

 

Значок IV обозначает ткани низшего сорта, III — среднего, II — первого, а I — высшего сорта.

Из этой таблицы видно, что в тканях низшего сорта скручивание, направленное в одну и ту же сторону и в основе, и в утке, употреблялось чаще, чем разнонаправленное скручивание. Тем не менее и разнонаправленное скручивание встречается в этой группе довольно часто. Напротив, в тканях высшего сорта количество экземпляров, имеющих для основы и утка разнонаправленное скручивание, вдвое больше, чем тканей с однонаправленным скручиванием. Выводы из этих фактов будут сделаны в другом разделе.

В немногочисленных случаях, в особенности при производстве грубых тканей с полотняным переплетением, с очень отчетливой структурой, используется сдваивание пряжи. Этот способ заключается в том, что две нити с единым направлением скручивания, например Z, скручиваются вместе, но имеют направление скручивания уже S. Пряжа такого типа была самой толстой, самой крепкой, но и самой жесткой. В новгородском материале ткани из такой пряжи встречены только три раза (Н-59/26, Н-55/10116, Н-59/37). Ткани этого типа с точки зрения фактуры мы определили как изделия с рисовым эффектом.

 

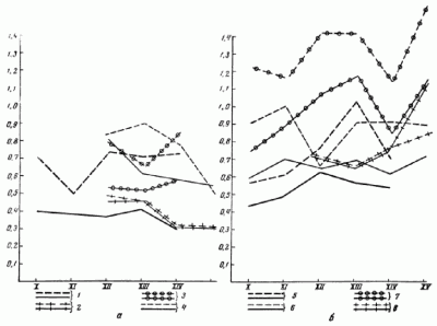
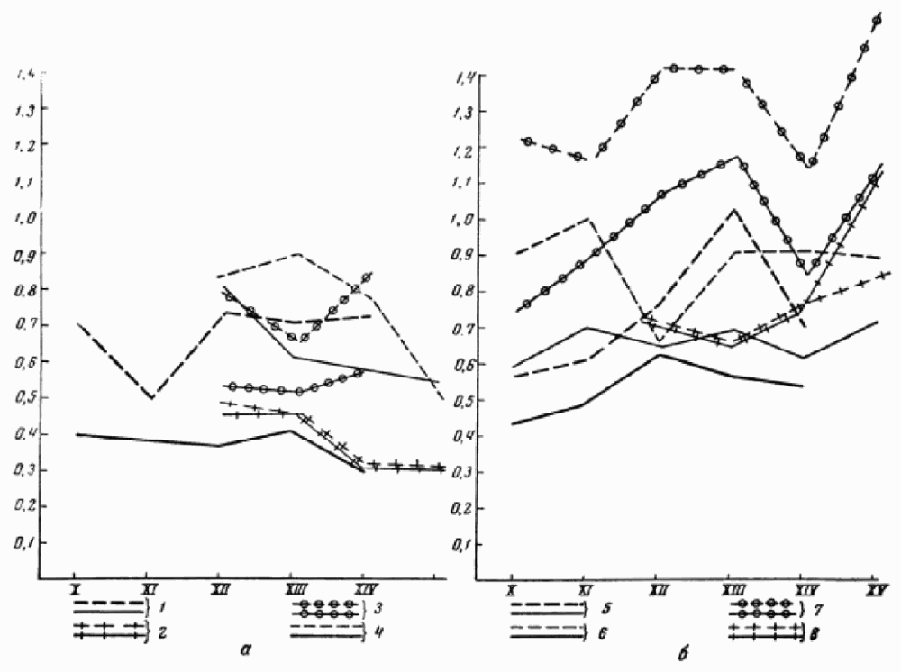
ткани Новгорода
Рис. 10. Изменение средних толщин пряжи импортных и местных тканей
 (а — импортные, б— местные) 1 — ткани «специального» типа; 2 — суконные ткани I сорта;
 3 — суконные ткани II сорта; 4 — суконные ткани III и IV сортов; 5 — «обычные» ткани I и II сортов;
6 — «обычные» ткани III сорта; 7 — «обычные» ткани IV сорта; 8 — ажурные ткани

 

В характеристике ткани довольно существенным моментом является толщина пряжи (нити). Она зависит как от качества обработки сырья перед прядением, от сорта шерсти, так и от искусства пряхи. В новгородском материале мы наблюдаем очень значительные рагзличия в толщине пряжи. Здесь можно встретить пряжу толщиной от 3 мм (в тканях) и от 4—5 мм (в вязаных изделиях) до толщины 0,2 мм в тканях высшего качества.

Мы составили графики (рис. 10) колебания средних толщин пряжи раздельно для тканей импортных и местных новгородских. Средняя толщина нити пряжи выражена в миллиметрах. Среди тканей импортных мы выделяем ткани специальные и суконные первого, второго, третьего и четвертого сортов, среди тканей местных ажурные ткани и обычные ткани первого, второго, третьего и четвертого сортов.

Наблюдая графики, мы можем сказать, что толщина нити уменьшается по мере возрастания густоты ткани, т.е. улучшения ее качества. В тканях низших сортов употребляли нити большей толщины, чем в тканях высшего качества. Так как в Новгород импортировались ткани высших сортов, то вполне естественно, что средняя толщина нити в импортных тканях оказалась значительно тоньше, чем новгородских. Колебания толщины нитей в импортных и местных тканях в X—XV вв., хорошо видны на графиках. Следует обратить еще внимание на то, что нить основы всегда была тоньше, чем нить утка. Это общее правило нарушалось очень редко.

наверх

загрузка...