| ткани новгрода | Вязаные изделия Крашение текстильных изделий |
Самыми многочисленными текстильными изделиями, изготовленными не на ткацком станке, в новгородском материале, несомненно, являются плетенки, которых здесь найдено 16 экз. В четырнадцати случаях они имеют полотняное или репсовое переплетение. Только один фрагмент (Н-55/10153) имеет иной способ переплетения. Одна плетенка в отличие от всех других изготовлена на ткацких табличках с четырьмя отверстиями.
Вязаные изделия
Вязаные изделия встречены в материале новгородских раскопок девять раз. Эти изделия найдены в следующих ярусах: 28, 20, 16, 15, 14, 13, 11 и 4. Сделаны они из очень грубой и нерегулярной нити, так называемой сученины, при помощи переплетения иглой специальным способом. «Игольная» техника служила для вязания теплых и грубых варежек, а также стелек для обуви (рис. 28).
Технику изготовления варежек мы можем восстановить, благодаря исследованиям М. Хальд40.
Вязаные изделия из Новгорода имеют технику переплетения, тождественную типу, определенному М. Хальд как II. Это самый простой способ игольного вязания. Изготовление варежек этим способом производилось следующим образом. При помощи грубой и тупой иглы выплеталась полоска, состоящая из взаимно переплетающихся петель (рис. 29). Когда полоска достигала длины запястья (при изготовлении варежки), конец полоски соединялся с началом, давая ободок, затем полоска продолжалась дальше, соединяясь одновременно краем с предшествующим ободком.
Ниже мы опишем технику этого переплетения по М. Хальд. Сначала делаются первоначальные петли (рис. 29, 7). Изготовляются они пальцами и принимаются левой рукой.
Рис. 29, 2 показывает следующий этап переплетения, когда нить уже иглой протягивается сверху по направлению ладони через петлю б. Затем нить загибается концом иглы на 90° вверх, так, что петля б остается завернутой на острие иглы, проходящей через середину петли б под участком нити, обозначенной буквой а. В это время большой палец левой руки всовывается в петлю б так, как это показано на рис. 29, 3, после чего игла проходит параллельно большому пальцу острием к его основе. При этом конец большого пальца высовывается из петли для придержания нити на игле (рис. 29, 4). Большой и указательный пальцы правой руки осторожно тянут нитку а, пока петля б не обнимет иглу ниже ушка. Протягивание иглы через наложенные на нее петли происходит так, чтобы на большом пальце левой руки осталась петля, возникшая из нити а, которая эквивалентна петле б. Рис. 29, 6 представляет следующую стежку. На большом пальце левой руки имеется петля б. Игла проходит между большим пальцем и петлей б. После выполнения ободка варежки каждая следующая вереница петель соединялась с предыдущей.
![]() |
| Рис. 29. Способ вязания 1 — схема вязаного изделия Н-58/2868, 14 яруса; 2—б — этапы последовательных операций при вязании |
Вязаные изделия появляются в археологических материалах Европы с начала нашей эры и встречаются до начала XV в., а в некоторых странах производятся и по настоящий день.
На Готланде в раскопках А. Морэ была найдена рукавица, относящаяся к началу нашей эры. В Швеции в Лунде была обнаружена рукавица, датированная временем до 1400 г. В Финляндии изделия этого типа известны по средневековым раскопкам. Варежки с игольным переплетением часто встречаются в раскопках Дании. Изделия этого типа были найдены также в гробницах монахов, в костелах Тулузы, Флоренции и Спиры. На территории Скандинавии эта техника применяется до сих пор41. Из более близких аналогий надо упомянуть вязаные изделия из раскопок Белоозера, а также раннесредневекового Гданьска.
К изделиям, изготовленным иглой (возможно крючком), относится плетенка, найденная в Новгороде Н-53/9581, ярус 24/25.
Крашение текстильных изделий
Как было указано, 14 кусков тканей из новгородских раскопок были подвергнуты анализу с целью определения красителя. Анализы по просьбе автора были произведены в Научно-исследовательском институте текстильной промышленности в Будапеште.
Результаты проведенных в Институте исследований приведены в табл. 10. Перейдем теперь к характеристике красителей тканей из Новгородских раскопок.
Таблица 10
| № п/п |
Инв. № |
Цвет | Краситель | Вид находки |
| 1 |
Н-58/2860 |
коричневый | элаговая кислота | вязаное изделие |
| 2 |
Н-58/2851 |
темно-коричневый | элаговая кислота | толстые нити утка без основы |
| 3 |
Н-58/2837 |
черный | элаговая кислота на железной протраве | «специальный» тип |
| 4 |
Н-55/10159 |
коричневый | хрисин | сукно 1/2 |
| 5 |
Н-55/10189 |
коричневый | хрисин | ажурная ткань |
| 6 |
Н-55/4699 |
коричневый | хрисин | нити |
| 7 |
Н-55/10187 |
светло-коричневый | эмодин на железной протраве | ткань в мелкий рубчик по основе |
| 8 |
Н-55/10185 |
коричневый | эмодин | — |
| 9 |
Н-55/10126 |
коричневый | эмодин | «специальный» тип |
| 10 |
Н-55/10165 |
зеленый | индиго с неизвестным желтым красителем | зеленое сукно с каймой |
| 11 |
Н-55/10150 |
коричнево-лил овый | лак-дей | красное сукно 2/2 |
| 12 |
Н-55/10138 |
коричневый | марена на глиняно-железной протраве | коричневое сукно |
| 13 |
Н-55/10147 |
коричнево -красный | марена на глиняно-железной протраве | красное сукно |
| 14 |
H-55/pXIl, кв. 860 |
темно-пурлурный | кермес с тонином | пурпурное сукно |
Ткани 1—3. Элаговая кислота служит для получения цвета от коричневого до черного в зависимости от протрав, с которыми она применена. Элаговая кислота широко распространена в растительном мире. Для нас наиболее интересно наличие ее в коре и древесине дуба, в плодах граната и в благородном каштане42. Кроме того, элаговая кислота встречается в бензоаровых камнях, образующихся в желудках животных, так как эти животные едят кору растений, содержащую голатанин или элаготин.
Элаговую кислоту получают из коры дуба путем экстракции горячей водой или разбавленным алкоголем. Элаговая кислота является протравным красителем. На шерстяном волокне, протравленном солями хрома, она дает желто-оливковые оттенки; на железной протраве — черную окраску. А протрава из хлористого железа придает ткани черно-синий оттенок.
Мы можем утверждать, что элаговая кислота на элаговой протраве применялась в текстильном производстве на Руси в раннем средневековье. Это утверждение вытекает из того факта, что вязаные издел1Ш и грубые ткани можно считать продуктами местных ремесленников (Н-58/2860 и Н-58/2851). Темная окраска этих тканей и их коричневый оттенок объясняются воздействием среды, в которой ткани пребывали в земле. Известно, что кислые почвы окрашивают в коричневый цвет. Но вполне вероятно, что темная окраска этих тканей вызвана присутствием соединений железа в хромовой протраве.
Что касается ткани Н-58/2837, представляющей собой «специальный» тип ткани с квадратным рисунком (можно предполагать, что это была импортная ткань), то здесь была применена элаговая кислота на железной протраве. Специально следует отметить прочность крашения того времени. В современном красильном производстве черный цвет, полученный при помощи элатовои кислоты на железной протраве, считается непрочным на свет.
Ткани под №4—6 показывают наличие красителя, называемого хрисином, добываемого из почек различных пород тополей (Topulus italica, Topulus nigra, Topulus pyramidalis). Хрисин на глиняной протраве окрашивает шерсть в желтый цвет. Основываясь на присутствии хрисина в ажурной ткани (Н-55/10189), можно предположить, что этот краситель применялся на Руси в период раннего средневековья. Коричневую окраску этих тканей следует приписать действию почвенных кислот.
Ткани под № 7—9 содержат краситель, называемый эмодином. Этот краситель присутствует в соке ольхи (Alnus glutinosa). Эмодин сообщает окраску от светло- до темно-коричневой. Оггенок зависит скорее всего от количества кислорода в соке, собирающегося в углублениях ветвей. Но и протрава имеет значение: например, железная протрава дает темно-коричневую окраску.
Только ткань № 10 (Н-55/10165) обнаруживает присутствие красителя индиго, который, впрочем, присутствует в соединении с неизвестным желтым красителем. Благодаря такому сочетанию ткань обладает зеленой окраской. Краситель индиго добывается из растений, называемых Indigofera curil, которые с древнейших времен выращивались в Индии и Персии. Арабы принесли культуру растений индиго в Африку, Сицилию и Испанию, но еще в XII в. индиго ввозили в Европу через Геную и Венецию с востока. В XIV и XV вв. кубовое крашение индиго распространяется в Германии и Фландрии43.
Окраска индиго была довольно сложной операцией, если учитывать нерастворимость индиго в воде. Поэтому методы окраски индиго основывались на принципе редукции красителя до так называемого белого индиго, который растворялся в щелочной среде. Щелочный раствор редуцированного индиго называли кубом (от посуды, в которой его приготовляли). Ткань, насыщенную раствором куба, подвергали воздействию воды и воздуха, благодаря чему происходило окисление белого индиго, находящегося на волокне, вновь до индиго. Для репродукции индиго в куб применялись смесь из отрубей и муки, патока, вино, хлеб, моча или известь, которые в результате брожения выделяли редуцирующий водород.
В новгородских находках следует обратить внимание на характер и датировку ткани, на которой был проведен анализ. Данный образец (Н-55/10165) имеет с краю шесть желтых нитей, что указывает на изделие западноевропейского цехового ремесла. Важно и то, что эта ткань датируется XIII в., что позволяет передвинуть дату применения индиго в северной Европе с XIV—XV вв. на XIII в.
Образец, указанный под № 11 (Н-55/10150), был окрашен в лилово-черный цвет (коричневый оггенок явился следствием воздействия кислых почв) красителем, называемым лак-дей.
Лак-дей — краситель, близкий кошенили. По мнению одних авторов, он получается из насекомых Coccus laccae, питающихся растениями Ficus indicus индийского, персидского или цейлонского происхождения. В других работах он определяется как продукт растений Laurencee, Peiseacee и Gascaria madogascaiiensis Targ Tozz. Краситель лак-дей получали путем сложных химических операций. Окрашивающим соединением в лак-дее является лаккаиновая кислота, которая в зависимости от протравы дает разные цвета окраски. На глиняной протраве лаккаиновая кислота красит шерсть в алый цвет, на оловянной — в пурпурный, чистая же лаккаиновая кислота окрашивает шерсть в медно-красный цвет. Присутствие красителя лак-дей в новгородских тканях очень интересный факт в истории красильного производства в Европе, он позволяет отнести его применение к XIII в.
Ткани под № 12 и 13 (Н-55/10138 и Н-55/10147) обнаружили в ходе анализа присутствие красителя марены на глиняно-железной протраве. Марена — растение группы Rubicae (Rubia tinctoram) — древнейших времен применялась для окраски в красный цвет; в Европе она известна уже со времен Карла Великого. Особенно широко она культивировалась в XIII в. во Франции и в Германии, а также на Востоке, откуда она доставлялась в Италию. Красный краситель получали из высушенного и смолотого корня растения, основным красящим соединением был в них ализарин. Он является протравным красителем, закрепляющимся на волокне с помощью глиняно-известковой протравы. При добавлении железных солей получался красно-фиолетовый отгенок.
Марена была хорошо известна славянам: это доказывается тем фактом, что ее название вошло в славянскую мифологию.
Последняя из помещенных в таблице тканей (инв. номер H-55/p. XII кв. 860) была окрашена в красный цвет красителем, полученным из кермеса и тонина. Краситель кермес добывался из мошек Coccus illicis, живущих на дубах. Крашение кермесом было известно уже в античную эпоху. В середине века арабы принесли искусство разведения мошек Coccus illicis из Персии в Западную Европу. Известен был также кермес украинский и немецкий, получаемый из тли, живущей на корнях растения Sclavantus perennis. Красящим соединением в кермесе является кермесовая кислота, которая окрашивает шерсть в зависимости от протравы. С кислой протравой кермесовая кислота окрашивает в апельсиновый цвет, с оловянной — в пурпурный, с глиняной — в бордовый.
Кроме того, как показывает анализ упомянутого выше образца, для получения красного цвета использовался тонин, содержащий элаговую кислоту.
Классификация шерсти новгородских тканей
Проблема определения тканей местного производства и тканей, импортированных в Новгород, весьма сложна, так как мы не располагаем достаточным количеством источников, которые позволили бы провести необходимые сопоставления и установить существующие аналогии. Как мы уже говорили, среди материалов западной Европы, относящихся к эпохе раннего средневековья, нет такой богатой и разнообразной коллекции текстильных материалов, какую мы имеем в Новгороде. Письменные источники и исследования, касающиеся текстильного ремесла в Западной Европе, не дают в достаточной мере материалов для сравнения. Поэтому необходимо познакомить читателя с последовательными этапами работы, позволившей выработать критерий деления новгородских тканей на местные и импортные. При этом принимались в расчет следующие элементы: 1) структура переплетения ткани; 2) плотность и связанное с ней качество ткани; 3) способ скручивания пряжи; 4) толщина пряжи; 5) внешний вид ткани; 6) шерстяное сырье, шедшее на изготовление этой ткани.
Нам кажется, что при современном уровне знаний о тканях, которые мы находим при раскопках, первые пять элементов не могут служить надежным критерием для такого разграничения. Эти элементы в большинстве случаев могут оказаться лишь предпосылками для определения происхождения тканей. Решающим может быть только шестой пункт, т.е. характер шерстяного сырья.
Такое суждение основано на том, что ткань является результатом соединения двух элементов: труда и техники производства, с одной стороны, и сырья, из которого она изготовлена, с другой. Труд и техника зависят от знании и опытности человека, а также от форм организации производства, соответствующих уровню общественно-экономического развития. Иначе дело обстоит с сырьем. Влияние человека на качество сырья в эпоху раннего средневековья ограничивалось разведением определенной породы овец, распространенной на данной территории, а также возможной в тех условиях сортировкой руна. Так как породы овец, разводившиеся на территории Европы в период раннего средневековья, в общем известны, то анализ сырья при соблюдении определенной осторожности является (для новгородских тканей) основным критерием установления происхождения тканей. Ибо если технология производства может быть одновременно общей для ремесленников, живущих на разных территориях, то качество шерсти, зависящее от пород овец, разводившихся в эпоху раннего средневековья, еще находится в относительно тесной связи с отдельными районами Европы.
В начале настоящей работы мы определили границы, в которых колеблются группы шерсти отдельных типов тканей. Попытаемся теперь исследовать сырье той группы тканей, которая, по-видимому, связана с местным производством. Напомним, что в качество местной продукции можно рассматривать прежде всего «обычные» и ажурные ткани, а также тесьму, нитки и вязаные изделия. Такое допущение основано на оценке внешнего вида этих изделий, а также на том, что техника их производства аналогична технике производства других текстильных материалов, найденных при раскопках на территории Руси.
Наряду с компактной труппой «обычных» и ажурных тканей, границы толщины шерсти которых колеблются от 29 до 43 мк и неравномерность от 31 до 51%, к числу изделий местного производства мы относим также вязаные изделия, шерсть которых отличается большей толщиной и меньшим выравниванием. Однако характер шерсти, свойственный местной овце, определяют параметры ажурных и «обычных» тканей. Исследование сырья этих тканей показывает, что здесь мы имеем дело с простейшей породой овец, дающей, очевидно, смешанное руно. Анализы археологических тканей, найденных на территории Латвийской ССР (раскопки, датируемые VIII—XIV вв., в Динабурском, Дзисненском, Лидзском и Жечицком районах), проведенные 3. Яворским, указывают на аналогичное сырье. Принимая во внимание тот факт, что часть тканей, проанализированных З. Яворским44, имеет характерные украшения в виде бляшек, аналогичных тем, которые обнаружены на тканях, найденных при раскопках в Люцине, а также на тканях Нукшинского могильника45, можно предположить, что эти находки указывают на характер шерсти, настригавшейся с овец, разводившихся в северо-восточных районах Средней Европы.
Большой интерес представляет схема параметров, определяющих шерсть вышеназванных типов тканей местного происхождения. На эту схему нанесены также показатели толщины и равномерности современной шерсти смешанного типа, получаемой от овец местных пород, а также современной шерсти однородного типа46 (рис. 30). На этой схеме мы видим взаимосвязь, существующую между параметрами шерсти, из которой изготовлены «обычные» и ажурные ткани Новгорода, и параметрами современной шерсти смешанного типа, получаемой от овец местных пород (по Т. И. Кузнецову). В связи с этим следует также обратить внимание на то, что диаграммы толщины шерсти современных сокольской и михновской овец (рис. 2 и 4) и диаграммы толщины, характеризующей шерсть «обычных» и ажурных тканей Новгорода, имеют сходные кривые. В обеих группах представлена значительная амплитуда колебания толщины — от тонкого волокна 7—8 мк до толстого около 135 мк. Кроме того, и в том, и в другом случае мы видим, что наибольшее количество волокон колеблется в пределах от 12 до 50—60 мк. Также близки между собой величины, выражающие в процентах наибольшую часть в пробах отдельных толщин волокон. Наибольшая часть (в процентах) в сокольской и михновской шерсти выпадает на волокно толщиной 17—27 мк — около 24%. В приведенных на табл. 2 примерах новгородской шерсти тканей «обычного» и ажурного типа наибольшую процентную часть также составляют волокна толщиной 17—27 мк (уток ткани Н-55/9587, Н-57/4636 и H-55/2S11; очень близка к этим проба Н-57/4657). В то же время наибольшую процентную часть в основе той же пробы составляют волокна толщиной 32,5 мк, что сближает ее с пробой Н-55/10125. В этой последней пробе, как и в основе ткани Н-53/5989, значительный процент волокон имеет толщину 42 и 52 мк, но и в диаграммах сокольской и михновской шерсти волокна толще 27 мк составляют в пробе значительный процент.
Следует также обратить внимание на безусловное отличие кривой толщины в диаграммах современной шерсти михновской и сокольской овец от кривой толщины шерсти новгородских тканей указанного выше типа. Первая имеет «гармоническую» форму. Кривая круто поднимается вверх вплоть до кульминационного пункта, а затем медленно опускается. В то же время в диаграммах, отражающих данные «обычных» и ажурных тканей из Новгорода, кривые, характеризующие их шерсть, имеют «нерегулярную» форму, хотя их «синтезы» соответствуют диаграмме сокольской и михновской шерсти. Это различие можно объяснить тем, что кривые для современной шерсти получены в результате массового исследования сырой шерсти овечьего руна в лабораторных условиях. В то же время кривая для новгородских тканей получена в результате исследования шерсти, подвергшейся обработке в процессе производства, и, кроме того, она взята от тканей, сильно разрушенных как в результате их использования, так и вследствие их длительного пребывания в земле.
Мы сравнивали шерсть «обычных» и ажурных тканей (рис. 3) с шерстью современных местных пород овец, но найти аналогию для шерсти, из которой изготовлены вязаные изделия, найденные на раскопках в Новгороде, очень трудно. Как уже отмечалось, шерсть вязаных изделий не характеризует руна и представляет собой отходы, остающиеся после обработки шерсти перед прядением. В противном случае мы имели бы дело с шерстью примитивной овцы типа муфлона, которого, по всей вероятности, в это время на Руси уже не было.
На рис. 10 мы видим, что в пределах, занятых параметрами местных тканей, появляются также параметры суконных валяных и крашеных тканей — Н-57/4610, ярус 7, Н-54/418, ярус 5/6, Н-57/4618, ярус 4/5. Сходство графиков для этих тканей, а также сходство их средних толщин и процент неравномерности, соответствующие аналопгчным данным местных «обычных» и ажурных тканей, наводит на мысль, что суконные валяные ткани местного производства.
Гораздо труднее интерпретация шерстяного сырья тканей, которые мы называем специальными, а также суконных крашеных тканей, как валяных, так и имеющих открытую поверхность.
Для уяснения этого вопроса необходимо вкратце описать состояние овцеводства в Европе в эпоху раннего средневековья. В этот период лишь незначительная часть районов Европы занималась овцеводством. Прежде всего надо отметить овец, разводившихся на пастбищах средней и западной Англии. Шерсть этих овец до XIII в. являлась основным сырьем английского и фламандского суконного производства, а позже и голландского.
Шерсть английских овец, дающих однородное руно, можно поделить на две группы. К первой группе относится шерсть, получаемая от овец с тонким коротким руном, основные породы которых разводились в районах между границей Уэллса и Шропширом, а также между Херфордшнром и рекой Северн. На пастбищах Западной Англии, а также на севере разводили овец, от которых получали шерсть с длинным, но толстым волокном, сходным, по-видимому, с современной шерстью овец породы Линкольн47. Коротковолокнистая шерсть была ценным сырьем, на основе которого развилось производство первоклассного фламандского сукна. Из-за отсутствия археологических материалов нельзя точно определить качество и сорта шерсти упомянутых выше овец; в какой-то степени решить эту проблему помогает характеристика шерсти овец, разводимых в настоящее время на указанных территориях Англии: в этих районах в настоящее время разводятся короткорунные овцы пород шропилгр и гэмпшир, от которых получают шерсть сортимента 48/56, что согласно Брэдфордской шкале составляет по Денеру 25—35 мк48, а по Кузнецову 27—34 мк49. Аналогичную шерсть получают от шропширских овец. Средняя же толщина современной английской шерсти, получаемой от овец с длинным руном, колеблется между 30—38 мк и больше, по Денеру50, и между 30—48 мк, по Кузнецову51.
Другим районом разведения овец, с которых настригали однородную шерсть, пригодную для изготовления сукон, была Испания. Развитие мериносового овцеводства, обязанного своим появлением в этих краях берберам, датируется XII в. В XIV в. оно достигает необычайного расцвета. Кроме этой породы овец, называвшихся по характеру их разведения merinos transhumantes, разводили также, хотя и в меньшей степени, породу овец merinos estantes".
В этом случае мы также можем взять для сравнения шерсть современных испанских мериносов. Так, меринос негретги дает шерсть сортимента 100 или толщиной до 16 мк53. Испанская классификация шерсти мериносов в зависимости от класса (от extra fmo до merino alto) предусматривает толщину 15—25 мк.
Кроме упомянутых пород, от которых настригают однородную шерсть, надо отметить также шерсть овец представительницей которых является фризская овца, дающая длинную ровную шерсть средней толщины.
Попытаемся дать интерпретацию различных сортов шерсти, представленных в тканях «специального» типа, а также в высококачественных крашеных валяных и неваляных тканях.
Начнем с шерстяного сырья тканей «специального» типа. Как мы уже говорили выше, толщина шерсти, из которой они изготовлены, колеблется от 30 до 43 мк, а неравномерность толщины — от 23 до 33—40%. На рис. 1 обозначены границы, в которых чаще всего появляются параметры, характеризующие шерсть тканей «специального» типа, которые в значительной степени совпадают с границами толщины и равномерности современной равномерной толстой и полутолстой шерсти типа той, которую получают от английских овец породы линкольн.
Принимая во внимание то, что средняя толщина шерсти в тканях специального типа колеблется от 30 до 43 мк, а также имеет относительно большое выравнивание при небольшом количестве остевого волокна, мы склоняемся к выводу, что это английская шерсть, имеющая длинное толстое волокно, средняя толщина которого колеблется от 30 до 48 мк55.
Попытаемся далее сравнить диаграммы толщины шерсти в тканях «специального» типа с диаграммами шерсти английских овец, подобно тому, как мы делали это для «обычных» и ажурных тканей. На рис. 6, д, к помещены диаграммы обоих типов английской шерсти — толсто- и тонковолокнистой. Отметим, что шерсть английских долгорунных овец по толщине колеблется от 5 до 107 мк. Наибольшее количество волокон (21-24%) имеет толщину от 32 до 42 мк. Характерно, что волокна тоньше 32 мк и толще 42 мк образуют значительный процент в руне, вследствие чего диаграмма шерсти с длинным тонким руном постепенно поднимается до кульминационного пункта и так же постепенно опускается.
Сравнивая диаграммы толщины современной английской шерсти с диаграммами толщины шерсти тканей «специального» типа, мы приходим к выводу, что шерстяное сырье этих тканей по своему характеру приближается к шерсти современных английских долгорунных овец. Об этом свидетельствует как толщина волокон (приблизительно от 12 до 60 мк), так и тот факт, что наибольший процент их (34-47%) приходится на волокно толщиной от 27,5 до 32 мк.
С точки зрения способа производства, группа тканей «специального» типа аналогична тканям, найденным при раскопках в Бирке56 (подробное обоснование см. ниже). Помимо способа производства, интересна датировка этих тканей. В Новгороде они отмечаются с X по XIII в. Слои Бирки датируются, как известно, IX—X вв. Напомним, что аналогичные ткани VIII в.57 были найдены также в Калльби, Скании и Вальсгарде. Характер этих тканей, как считает А. Гейер, указывает на то, что они наверняка изготовлены не на территории Скандинавии, что подтверждается также анализом шерсти под микроскопом.
Перейдем теперь к рассмотрению третьей группы тканей, характеризующейся следующими координатами: средняя толщина 18-29 мк, неравномерность толщины 20-38%. В пределах этих показателей концентрируются координаты шерсти крашеных тканей, валяных и неваляных (рис. 6, е, к). Различаются два вида валяных тканей. Первую группу образуют ткани, имеющие хорошую отделку, поверхность которых хорошо сваляна и имеет плотное покрытие, под которым не видно переплетения нитей основы и утка. Вторую группу составляют валяные изделия, поверхность которых не имеет плотного покрытия, так что можно видеть способ переплетения основы и утка. Причину этого явления можно усматривать либо в большой изношенности этих тканей, либо в менее тщательной отделке. Пространство, занятое параметрами шерсти валяных и крашеных тканей, характеризуется некоторыми общими чертами. Упомянув их, мы перейдем к более подробному анализу. Прежде всего обращает на себя внимание минимальное количество тканей, в которых при исследовании под микроскопом были обнаружены остевые волокна. Это особенно заметно при сравнении данной группы тканей с «обычными» и ажурными тканями, а также с вязаными изделиями. С другой стороны, по средней толщине шерстяного сырья эти ткани различаются между собой очень незначительно. Выше мы пытались доказать, что в этой группе мы имеем дело с гораздо более выровненной шерстью, чем в остальных группах тканей. Интересно отметить и то, что средняя толщина шерсти в рассматриваемых тканях не превышает 29 мк.
Деление тканей на сукна, изготовленные из английской тонкорунной шерсти, с одной стороны, и из мериносовой, с другой, хорошо видно на рис. 7. Граница, разделяющая их, проходит вдоль линии, соответствующей толщине 25 мк. Слева и справа от этой линии выступают относительно компактные группы параметров (лишь одна из исследованных тканей — см. рис. 7 — имеет параметры основы и утка, лежащие по обе стороны этой границы). На рисунке видно, что группа параметров, расположенных левее линии, отмечающей толщину 25 мк, соответствует средней толщине и выравниванию современной равномерной тонкой шерсти, т.е. мериносов, по Т. И. Кузнецову, а группа параметров по правую сторону соответствует средней толщине и выравниванию современной полутонкой шерсти английских короткорунных овец шропширской и гэмпширской пород.
Для крашеных сухонных тканей, как валяных, так и неваляных, можно провести аналогию с типичными графиками толщины шерсти современных английских короткорунных овец (рис. 6), а также мериносов (рис. 5).
Остается рассмотреть параметры шерсти, из которой вытканы крашеные валяные или же только крашеные сукна, которые на первый взгляд при поверхностном исследовании ничем не отличаются от остальных. Результаты исследования шерсти этой группы тканей с помощью микроскопа представлены на рис. 7 и рис. 30. Координаты шерсти этих изделий группируются в пределах, характерных для современных испанских мериносов (рис. 30). На эталонной диаграмме современной мериносовой шерсти (рис. 5) показано, что границы ее толщины находятся между 2,5 мк и 52,5 мк. Наибольшую же часть пробы (60%) составляет волокно толщиной 17,5 мк. Сравнивая эталон с результатами, полученными при исследовании под микроскопом шерсти тканей, найденных в Новгороде (H-53/XII, ярус 14; Н-55/10150, ярус 13; H-58/пл. 8, 1088, ярус 8), мы видим, что граница толщины шерсти этих проб не переходит за 45 мк, а волокна толщиной 17 мк составляют наибольший процент, который в отдельных пробах достигает 59, 51, 56%. Это позволяет нам утверждать, что указанные новгородские ткани, а также подобные им, имеющие параметры толщины шерсти от 18 до 25 мк, изготовлены из шерсти испанских мериносов.
Говоря о методе исследования шерсти археологических тканей, интересно отметить, что вероятность ошибки при исследовании шерстяного сырья этих тканей под микроскопом уменьшается, как нам кажется, пропорционально улучшению качества исследуемой шерсти. Ибо сырье худшего качества подвергалось ряду «облагораживающих» процессов, таких как битье и т.п., в результате чего первоначальный характер шерсти претерпевал изменения. Качество шерсти овец благородных пород (английская тонкорунная, испанский меринос), отмечаемое в археологических тканях, в гораздо большей степени соответствует качеству сырой шерсти.
Интересен вопрос об изменениях, происходивших в области шерстяного сырья. По письменным источникам известно, что с середины XIII в. и, особенно, с конца этого столетия, испанское сырье все больше и больше завоевывает западноевропейские рынки, в то время как экспорт английской шерсти сокращается.
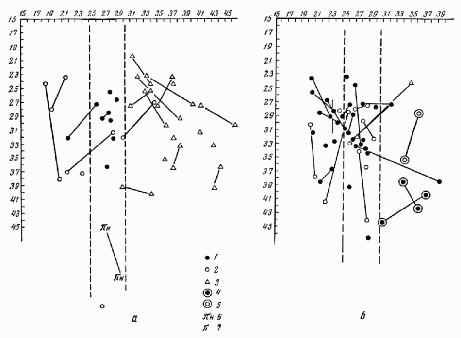
В какой-то мере это историческое явление отражается и на сырье суконных тканей, импортированных в Новгород. Чтобы уточнить это, мы нанесли параметры сырья суконных валяных и крашеных тканей, а также тканей «специального» типа, на две схемы (см. рис. 6, а, б). Первая схема охватывает ткани указанного характера, найденные в ярусах с 28 по 13, вторая— аналогичные находки в ярусах с 13/12 по 1. На каждой схеме отмечена линия, обозначающая толщину 25 мк, которая является примерной границей между мериносовой и английской короткорунной шерстью. Хронологическая граница, разделяющая эти две схемы, приходится на середину ХШ в., т.е. на период, когда испанская шерсть начинает фигурировать в фламандском текстильном производстве58. Схема (рис. 31) позволяет сделать следующие выводы.
1. В период, представленный ярусами 28—13, в большом количестве встречается шерсть с длинным толстым волокном; из нее изготовлены ткани «специального» типа. Схема, составленная для 13/12 яруса, показывает, что ткани, изготовленные из этого сырья, в этот период в Новгороде уже не отмечаются.
2. В период с X до середины XIII в. отношение суконных валяных и крашеных тканей, изготовленных из шерсти со средней толщиной волокна до 25 мк, т.е. мериносовой, к тканям, изготовленным из шерсти толщиной 25-29 мк, которую мы определили как английскую тонкорунную, составляет 4:10. В период же с середины XIII до XV в. такое отношение составляет 14,5:16,5. Таким образом, мы видим, что в определенные периоды количество суконных валяных и крашеных тканей, изготовленных из мериносовой шерсти, увеличивается в 3,5 раза, тогда как количество тканей из английской короткорунной шерсти — лишь в 1,8 раза. Нам кажется, что такое соотношение можно объяснить изменениями, происшедшими на рынках Европы.
3. Наконец, надо отметить, что начиная с середины XIV в., в Новгороде отмечено восемь суконных валяных и крашеных тканей, изготовленных из шерсти толще 29 мк. С большой степенью вероятности можно утверждать, что это суконные валяные ткани местного производства, технология которых в местном производстве, вероятно, появляется в первой половине XIV в.
Касаясь диаграмм на рис. 7, рис. 30 и 31, заметим, что необходимо пересмотреть положения, выдвинутые Н. Б. Черных, считающей, что сукна, валяная поверхность которых обработана менее тщательно, являются продукцией местного производства, в отличие от сукон, поверхность которых хорошо покрыта валяным слоем. В новгородском материале отмечено много тканей, имеющих слабо свалянную или вовсе не валяную поверхность, но крашеных, шерсть которых указывает на то, что эти изделия — импортные.
Так как среди тканей, средняя толщина шерсти которых менее 24 мк, имеются, по-видимому, ткани из английской коротковолокнистой шерсти, мы составили диаграмму, в которой сопоставление тканей из мериносовой и английской короткорунной шерсти производится не на основе средней толщины и процента выравнивания, а на основе диаграмм толщины волокон в отдельных пробах. В приведенной нами табл. 11 представлены величины, характеризующие отдельные препараты, а не ткани.
| Диаграммы | Ярусы | ||||||||||||||||||||
| 21 | 20 | 19 | 18 | 17 | 16 | 15 | 14 | 13 | 12 | 11 | 10 | 9 | 8 | 7 | 6 | 5 | 4 | 3 | 2 | 1 | |
| Диаграммы для мериносовой шерсти | — | — | — | — | 1 | 1 | — | — | 1 | 1 | 1 | 1 | — | 1 | — | ||||||
| Диаграммы для английской коротковолнистой шерсти | 1 | — | 1 | — | 1 | — | 4 | 1 | 1 | 1 | 3 | 4 | 2 | 6 | 4 | 1 | 3 | 2 | — | — | — |
Подводя итоги, отметим, что анализ сырья дает основания различать в новгородском материале следующие типы шерсти: шерсть местных овец, шерсть мериносов, шерсть английских тонкорунных и английских толсторунных овец.



